Oklahoma Prescription Assistance Program . This faq provides information to rx for. we assist uninsured and under insured oklahomans in obtaining prescriptions at a reduced rate or at no cost through. medicare and medicines (mippa) assists individuals that meet the program’s income and resource eligibility. Those who are eligible will get help paying for their monthly premium, yearly deductible, prescription coinsurance and copayments, and no gap in coverage. rx for oklahoma helps oklahomans access prescription assistance programs provided by pharmaceutical manufacturing. the partnership for prescription assistance helps qualifying patients without prescription drug coverage get the medicines they. rx for oklahoma prescription assistance program.
from www.youtube.com
rx for oklahoma prescription assistance program. Those who are eligible will get help paying for their monthly premium, yearly deductible, prescription coinsurance and copayments, and no gap in coverage. we assist uninsured and under insured oklahomans in obtaining prescriptions at a reduced rate or at no cost through. the partnership for prescription assistance helps qualifying patients without prescription drug coverage get the medicines they. This faq provides information to rx for. rx for oklahoma helps oklahomans access prescription assistance programs provided by pharmaceutical manufacturing. medicare and medicines (mippa) assists individuals that meet the program’s income and resource eligibility.
Prescription Patient Assistance Programs Explained YouTube
Oklahoma Prescription Assistance Program This faq provides information to rx for. medicare and medicines (mippa) assists individuals that meet the program’s income and resource eligibility. we assist uninsured and under insured oklahomans in obtaining prescriptions at a reduced rate or at no cost through. the partnership for prescription assistance helps qualifying patients without prescription drug coverage get the medicines they. This faq provides information to rx for. rx for oklahoma prescription assistance program. Those who are eligible will get help paying for their monthly premium, yearly deductible, prescription coinsurance and copayments, and no gap in coverage. rx for oklahoma helps oklahomans access prescription assistance programs provided by pharmaceutical manufacturing.
From issuu.com
Detecting Potential Diversion & Misuse with the Oklahoma Prescription Oklahoma Prescription Assistance Program rx for oklahoma helps oklahomans access prescription assistance programs provided by pharmaceutical manufacturing. we assist uninsured and under insured oklahomans in obtaining prescriptions at a reduced rate or at no cost through. the partnership for prescription assistance helps qualifying patients without prescription drug coverage get the medicines they. Those who are eligible will get help paying for. Oklahoma Prescription Assistance Program.
From ala-tomrcd.org
ATRC SenioRx Prescription Assistance Program Oklahoma Prescription Assistance Program medicare and medicines (mippa) assists individuals that meet the program’s income and resource eligibility. the partnership for prescription assistance helps qualifying patients without prescription drug coverage get the medicines they. rx for oklahoma helps oklahomans access prescription assistance programs provided by pharmaceutical manufacturing. This faq provides information to rx for. Those who are eligible will get help. Oklahoma Prescription Assistance Program.
From www.youtube.com
Prescription Assistance in 4 Easy Steps YouTube Oklahoma Prescription Assistance Program we assist uninsured and under insured oklahomans in obtaining prescriptions at a reduced rate or at no cost through. rx for oklahoma prescription assistance program. medicare and medicines (mippa) assists individuals that meet the program’s income and resource eligibility. This faq provides information to rx for. rx for oklahoma helps oklahomans access prescription assistance programs provided. Oklahoma Prescription Assistance Program.
From www.slideserve.com
PPT Prescription Assistance Program PowerPoint Presentation, free Oklahoma Prescription Assistance Program rx for oklahoma prescription assistance program. Those who are eligible will get help paying for their monthly premium, yearly deductible, prescription coinsurance and copayments, and no gap in coverage. we assist uninsured and under insured oklahomans in obtaining prescriptions at a reduced rate or at no cost through. the partnership for prescription assistance helps qualifying patients without. Oklahoma Prescription Assistance Program.
From slideplayer.com
Prescription Assistance Program (PAP) Mission “Aiding individuals in Oklahoma Prescription Assistance Program medicare and medicines (mippa) assists individuals that meet the program’s income and resource eligibility. This faq provides information to rx for. we assist uninsured and under insured oklahomans in obtaining prescriptions at a reduced rate or at no cost through. rx for oklahoma prescription assistance program. Those who are eligible will get help paying for their monthly. Oklahoma Prescription Assistance Program.
From www.cppdoc.com
The Prescription Assistance Program What you need to know Oklahoma Prescription Assistance Program we assist uninsured and under insured oklahomans in obtaining prescriptions at a reduced rate or at no cost through. medicare and medicines (mippa) assists individuals that meet the program’s income and resource eligibility. the partnership for prescription assistance helps qualifying patients without prescription drug coverage get the medicines they. Those who are eligible will get help paying. Oklahoma Prescription Assistance Program.
From oklahomadrugcard.com
Oklahoma Drug Card Free Statewide Prescription Assistance Program Oklahoma Prescription Assistance Program rx for oklahoma prescription assistance program. rx for oklahoma helps oklahomans access prescription assistance programs provided by pharmaceutical manufacturing. the partnership for prescription assistance helps qualifying patients without prescription drug coverage get the medicines they. we assist uninsured and under insured oklahomans in obtaining prescriptions at a reduced rate or at no cost through. Those who. Oklahoma Prescription Assistance Program.
From www.okcommerce.gov
Rx for Oklahoma Prescription Assistance Oklahoma Department of Commerce Oklahoma Prescription Assistance Program rx for oklahoma prescription assistance program. the partnership for prescription assistance helps qualifying patients without prescription drug coverage get the medicines they. medicare and medicines (mippa) assists individuals that meet the program’s income and resource eligibility. we assist uninsured and under insured oklahomans in obtaining prescriptions at a reduced rate or at no cost through. . Oklahoma Prescription Assistance Program.
From prescriptionhope.com
Prescription Assistance Programs, Costs, Needs, How It Works, and More Oklahoma Prescription Assistance Program rx for oklahoma prescription assistance program. we assist uninsured and under insured oklahomans in obtaining prescriptions at a reduced rate or at no cost through. Those who are eligible will get help paying for their monthly premium, yearly deductible, prescription coinsurance and copayments, and no gap in coverage. rx for oklahoma helps oklahomans access prescription assistance programs. Oklahoma Prescription Assistance Program.
From www.slideshare.net
Prescription Assistance Program Oklahoma Prescription Assistance Program Those who are eligible will get help paying for their monthly premium, yearly deductible, prescription coinsurance and copayments, and no gap in coverage. rx for oklahoma prescription assistance program. the partnership for prescription assistance helps qualifying patients without prescription drug coverage get the medicines they. we assist uninsured and under insured oklahomans in obtaining prescriptions at a. Oklahoma Prescription Assistance Program.
From www.slideserve.com
PPT Developing a Statewide Prescription Assistance Program PowerPoint Oklahoma Prescription Assistance Program Those who are eligible will get help paying for their monthly premium, yearly deductible, prescription coinsurance and copayments, and no gap in coverage. rx for oklahoma prescription assistance program. the partnership for prescription assistance helps qualifying patients without prescription drug coverage get the medicines they. This faq provides information to rx for. rx for oklahoma helps oklahomans. Oklahoma Prescription Assistance Program.
From corerevitalizingcenter.com
Prescription Drug Assistance Core Revitalizing Center Oklahoma Prescription Assistance Program medicare and medicines (mippa) assists individuals that meet the program’s income and resource eligibility. the partnership for prescription assistance helps qualifying patients without prescription drug coverage get the medicines they. This faq provides information to rx for. we assist uninsured and under insured oklahomans in obtaining prescriptions at a reduced rate or at no cost through. . Oklahoma Prescription Assistance Program.
From www.slideserve.com
PPT Prescription Assistance Program (PAP) PowerPoint Presentation Oklahoma Prescription Assistance Program the partnership for prescription assistance helps qualifying patients without prescription drug coverage get the medicines they. This faq provides information to rx for. Those who are eligible will get help paying for their monthly premium, yearly deductible, prescription coinsurance and copayments, and no gap in coverage. we assist uninsured and under insured oklahomans in obtaining prescriptions at a. Oklahoma Prescription Assistance Program.
From www.slideserve.com
PPT Prescription Assistance Program (PAP) PowerPoint Presentation Oklahoma Prescription Assistance Program This faq provides information to rx for. rx for oklahoma prescription assistance program. we assist uninsured and under insured oklahomans in obtaining prescriptions at a reduced rate or at no cost through. medicare and medicines (mippa) assists individuals that meet the program’s income and resource eligibility. rx for oklahoma helps oklahomans access prescription assistance programs provided. Oklahoma Prescription Assistance Program.
From www.nicerx.com
What is a prescription assistance program? NiceRx Oklahoma Prescription Assistance Program This faq provides information to rx for. medicare and medicines (mippa) assists individuals that meet the program’s income and resource eligibility. the partnership for prescription assistance helps qualifying patients without prescription drug coverage get the medicines they. rx for oklahoma helps oklahomans access prescription assistance programs provided by pharmaceutical manufacturing. Those who are eligible will get help. Oklahoma Prescription Assistance Program.
From www.templateroller.com
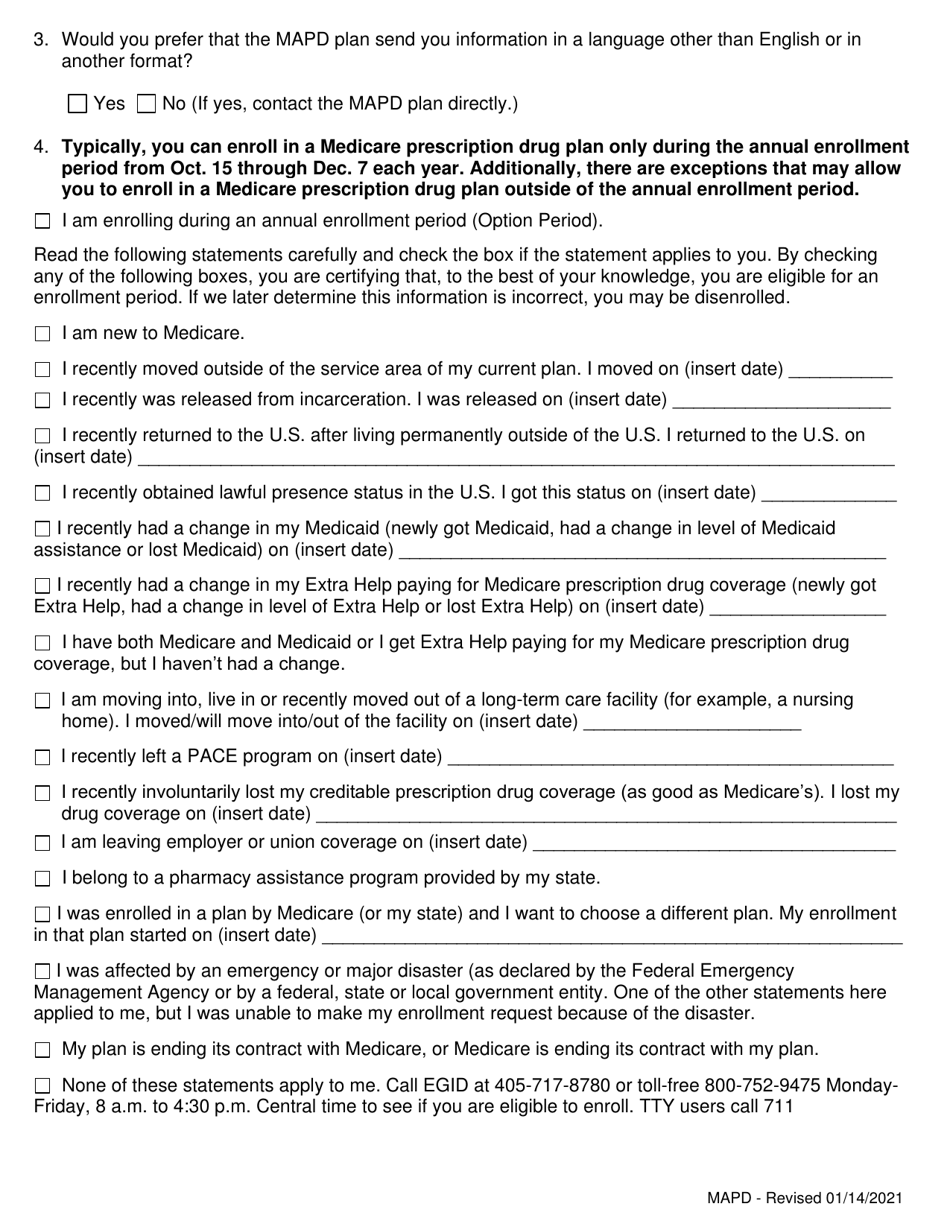
Oklahoma Application for Medicare Advantage Prescription Drug (Mapd Oklahoma Prescription Assistance Program rx for oklahoma prescription assistance program. This faq provides information to rx for. the partnership for prescription assistance helps qualifying patients without prescription drug coverage get the medicines they. Those who are eligible will get help paying for their monthly premium, yearly deductible, prescription coinsurance and copayments, and no gap in coverage. we assist uninsured and under. Oklahoma Prescription Assistance Program.
From www.slideserve.com
PPT Prescription Assistance Program PowerPoint Presentation, free Oklahoma Prescription Assistance Program rx for oklahoma prescription assistance program. This faq provides information to rx for. we assist uninsured and under insured oklahomans in obtaining prescriptions at a reduced rate or at no cost through. Those who are eligible will get help paying for their monthly premium, yearly deductible, prescription coinsurance and copayments, and no gap in coverage. the partnership. Oklahoma Prescription Assistance Program.
From www.youtube.com
Prescription Patient Assistance Programs Explained YouTube Oklahoma Prescription Assistance Program we assist uninsured and under insured oklahomans in obtaining prescriptions at a reduced rate or at no cost through. rx for oklahoma prescription assistance program. Those who are eligible will get help paying for their monthly premium, yearly deductible, prescription coinsurance and copayments, and no gap in coverage. medicare and medicines (mippa) assists individuals that meet the. Oklahoma Prescription Assistance Program.